您现在所在位置:首页 > 资讯中心 > 行业要闻

上海电机学院王相虎教授团队:β-Ga₂O₃/GaAs异质结的生长温度对其结构、器件特性及载流子传输机制的影响

由上海电机学院王相虎教授团队在学术期刊 Materials Science and Engineering: B 发布了一篇名为 Growth temperature dependent on the structure, device properties and carrier transport mechanisms of β-Ga2O3/GaAs heterojunctions(β-Ga2O3/GaAs 异质结的生长温度对其结构、器件特性及载流子传输机制的影响)的文章。

一、 项目支持

该项目得到中国国家自然科学基金(U22A2073, 11974433, 91833301)提供的资金支持。

二、 背景

β-氧化镓(β-Ga2O3)是一种超宽禁带半导体,因其优异的光电特性,在日盲紫外光电探测器、功率电子等领域有重要应用价值。由于 β-Ga2O3 难以实现有效的 p 型掺杂,构筑异质结是提升器件性能(如降低暗电流、提高灵敏度)的关键策略之一。砷化镓(GaAs)是一种成熟的半导体材料,与 β-Ga2O3 结合有望制备出高性能的异质结器件。脉冲激光沉积是一种能够在较低温度下制备高质量薄膜的技术,但生长温度是决定薄膜结晶质量、缺陷密度和表面形貌的关键参数,进而直接影响最终器件的性能。因此,系统性地研究 PLD 生长温度对 β-Ga2O3/GaAs 异质结材料与器件性能的影响,对于优化工艺和开发高性能探测器至关重要。

三、 主要内容

Ga2O3 具有宽带隙和优异的光电性能,使其在紫外光探测器、大功率电子器件和透明导电材料领域具有重要应用价值。本研究采用脉冲激光沉积技术在掺硅 GaAs(100) 衬底上生长 Ga2O3 薄膜,并制备了 Ga2O3/GaAs 异质结日盲紫外探测器。通过优化生长温度获得高品质薄膜:当生长温度从 500℃ 升至 700℃ 时,沉积于衬底的晶粒获得充分能量进行迁移与成核,从而提升薄膜结晶度并减少缺陷。此外,沉积过程中氧气气氛的存在降低了氧空位浓度,进一步减少了氧空位相关缺陷。由此,该探测器实现了外部量子效率提升 164 倍、响应度增强 241 倍、Iphoto/Idark 比值提高 44.5%。这些成果为开发高性能 β-Ga2O3/GaAs 异质结日盲紫外探测器奠定了实验基础。

四、 研究亮点

● 通过脉冲激光沉积法在砷化镓基底上制备 Ga2O3/GaAs 异质结,用于日盲紫外检测。

● 通过优化生长温度(500–700 °C)改善迁移/成核过程,显著提升 Ga2O结晶度并减少缺陷。

● 探测器实现 164x 电子量子效率、241倍响应度,Iphoto/Idark 比提升44.5%,成功实现日盲检测。

五、 总结

本研究采用脉冲激光沉积法(PLD)在硅掺杂(100)GaAs 衬底上生长 Ga2O3 薄膜,重点探讨了生长温度的影响。实验表明,在较高温度下沉积的薄膜质量显著提升。这种增强可归因于基底表面吸附原子的高迁移率及结晶过程,从而获得更优的薄膜结晶度和更低的缺陷率。基于该薄膜,成功制备出具有日盲响应特性的 Ga2O3/GaAs 异质结紫外光探测器。在 700℃ 条件下制备的器件表现出卓越性能:与基于低质量 β-Ga2O3 薄膜的器件相比,其量子效率和响应度分别提升 164 倍和 241 倍,光暗电流比提高 44.5%。本研究为优化 β-Ga2O3 沉积工艺及开发高性能 β-Ga2O3/GaAs 异质结日盲紫外光探测器提供了关键指导。

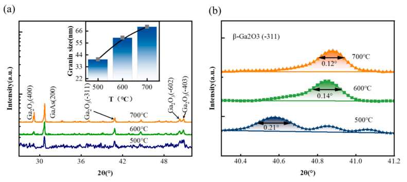
图 1. (a)β-Ga2O的 XRD 图谱(插图:根据(-311)衍射峰计算出的晶粒尺寸);(b)β-Ga2O3 的 XRD(-311)衍射峰的半高宽比较。

图2. (a-c) 在 (a) 500 °C、(b) 600 °C 和 (c) 700 °C 下生长的 β-Ga2O3 薄膜的截面扫描电子显微镜图像; (d-f) 衬底温度分别为 (d) 500 °C、(e) 600 °C和 (f) 700 °C 时生长的 β-Ga2O3 原子力显微镜形貌图。

图3. (a) β-Ga2O3 的拉曼光谱;(b) 局部区域的放大拉曼光谱;(c) β-Ga2O3 薄膜的荧光光谱;(d) 荧光光谱中峰 I 的半高宽。

图4. (a-c) 器件在 500 °C、600 °C 和 700 °C 的 I-V 特性曲线(线性坐标);(插图:对数坐标); (d) 器件在 500 ℃、600 ℃ 和 700 ℃ 在 1 V @ 129 mW/cm2 条件下 EQE 与 R 的对比。

图5. (a) β-Ga2O3/GaAs 异质结光探测器结构示意图; (b) β-Ga2O3 与 GaAs 异质结能带对齐示意图;(c-d) β-Ga2O3/GaAs 异质结器件(Device-500 ℃ 与 600 ℃)在 (c) 零偏压及 (d) 正向偏压紫外照射下的能带示意图;(e-f) 700 ℃ 器件在 (e) 零偏压和 (f) 正向偏压紫外照射下的对应能带图。

DOI:

doi.org/10.1016/j.mseb.2025.118767

本文转发自《亚洲氧化镓联盟》订阅号